O-notation

注意:计算机教材的写法
定义回顾
例子 1:
这里
要检查是否成立:
化简:
当
, ,所以总能找到 c。 比如选 c=1,那么只要
。
所以
例子 2:
这里
检查是否成立:
化简:
这要求:
但随着 n 越来越大,不可能存在一个有限常数 c 让不等式一直成立。
所以
。
Macro substitution

第一条:左边元素,右边集合,左边元素一定存在于右边。
第二条:两边都是集合,左边整体是右边的子集,左边任意元素都能在右边被找到。
Operations of 𝑶-notation

-notation


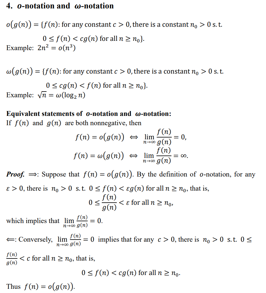
-notation and -notation

Transitivity
