formulate a linear problem


这道题目要求我们将逻辑条件转化为整数规划(Integer Programming)中的线性约束条件。
(ii) Project 4 must be selected if either project 1 or project 2 is selected
含义: 如果选择了项目1 或者 选择了项目2,那么必须选择项目4。
写法一(推荐,更清晰):
(解释:如果,则 必须为1; 同理。) 写法二(合并写法):
(解释:左边最大可能是2。如果,左边必须是0;如果 ,左边可以是0, 1或2,即允许选1或2。)
(iii) Project 5 is selected if and only if at least one of the projects 1 and 3 is selected
含义: 这是一个“当且仅当”(if and only if)的条件,包含两个方向的逻辑:
如果选了1或3(或都选),则必须选5。
如果选了5,则意味着必然选了1或3其中至少一个。
方向
(至少一个被选则选5):
(如果或 为1,左边大于0,强制 为1。) 方向
(选了5则至少有一个被选):
(如果和 都是0,左边 必须是0。)
(iv) Project 5 is selected if and only if both the projects 1 and 3 are selected
如果1和3同时被选,则必须选5。
如果选了5,则1和3必须都被选中。
方向
(两个都选则选5):
(如果,左边为 ,强制 ,即 。其他情况左边 ,对 无限制。) 方向
(选了5则两个都必须选):
(如果,则 和 都必须 ,即都为1。)
(v) Project 5 is selected if and only if exactly one of the projects 1 and 3 is selected
含义: 这是逻辑“异或”(XOR)。只有当
题目提示允许引入一个辅助变量(auxiliary variable)。
判断关键词:
“Exactly one”(恰好一个):这是最明显的标志。
“Either A or B, but not both”(要么A要么B,但不能同时):这是异或的标准定义。
互斥且必须选其一:如果题目说两个项目中必须选一个,且不能都选,也不能都不选。
约束条件:
引入一个二进制辅助变量
我们可以利用等式约束来完美表达这个关系:
解析这个等式为何有效:
- 情况1:都不选 (
) Sum = 0。
等式变为。由于都是非负整数,唯一解是 。(符合:不选5) - 情况2:只选一个 (
或反之) Sum = 1。
等式变为。由于 只能是偶数(0或2),要等于1,必须 且 。所以 。(符合:选5) - 情况3:都选 (
) Sum = 2。
等式变为。 - 如果
,则 (不可行,因为 是二进制)。 - 如果
,则 ,解得 。(符合:不选5)
因此,这就完美满足了“恰好选一个时选5,否则不选5”的要求。
- 如果
Dynamic programming


例题

下面用
问题数据(按物品 (r=1,2,3) 编号)
价值:
重量:
容量:
- Initialization(算法初始化的变量)
状态:(
) = “只考虑前 (r) 个物品、容量为 ( ) 的最大价值” 决策:(
) = “在状态 (( )) 是否选第 (r) 个物品” 初值:对所有 (
),令
- DP 递推(与图二一致)
对 r=1,2,3,
若 (
),则 ( ),且 ( ); 若 (
),则
并令 () 当且仅当取后者更优(若相等则记作“1/0”,表示两种都可)。

polyhedron
A polyhedron is the feasible region of a system of linear inequalities —
the geometric object that represents all solutions to an LP.
formulation

检验 P 是 set S 的 formulation 要求两步:
1.判断S所有点都在P
2.
本质就是在证明一个东西P是X的formulation,要求P的整数解等于X的解。

ideal formulation

Integer vertices

convex set
一定是 convex(凸集)。更准确地说,它是一个 仿射子空间 (affine subspace),而仿射子空间总是凸的。
branch and bound

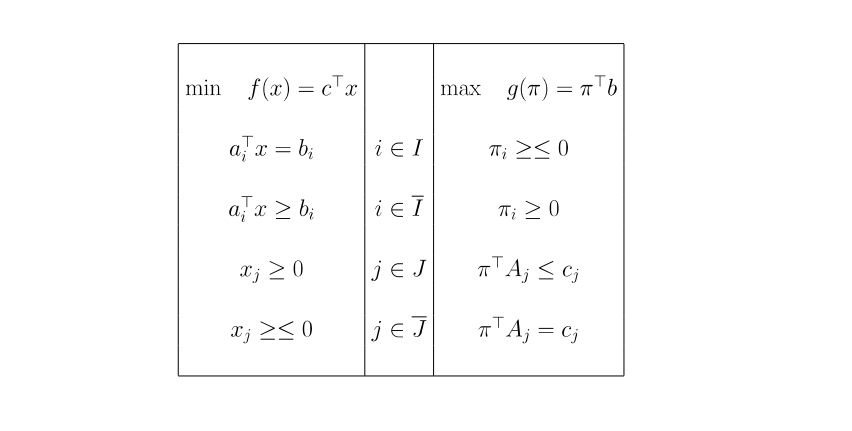
simplex method and dual simplex method
第一步一定先把 max 改成 min
单纯形表的排版顺序固定
1️ 最上一行是目标行 f
2️ 下面依次是约束行目标行初始化规则固定
目标行写成:(
) 表中系数一律用 (-c)(你强调的这一点我已经锁死)
min 问题的 pivot 规则
看 (f) 行
最大正数入基
ratio test 决定出基
Branch and Bound
LP 松弛:完整 simplex 表
加分支约束:直接加到当前最优表
出现 (b<0):dual simplex
每一步 pivot 表必须写出来,不跳




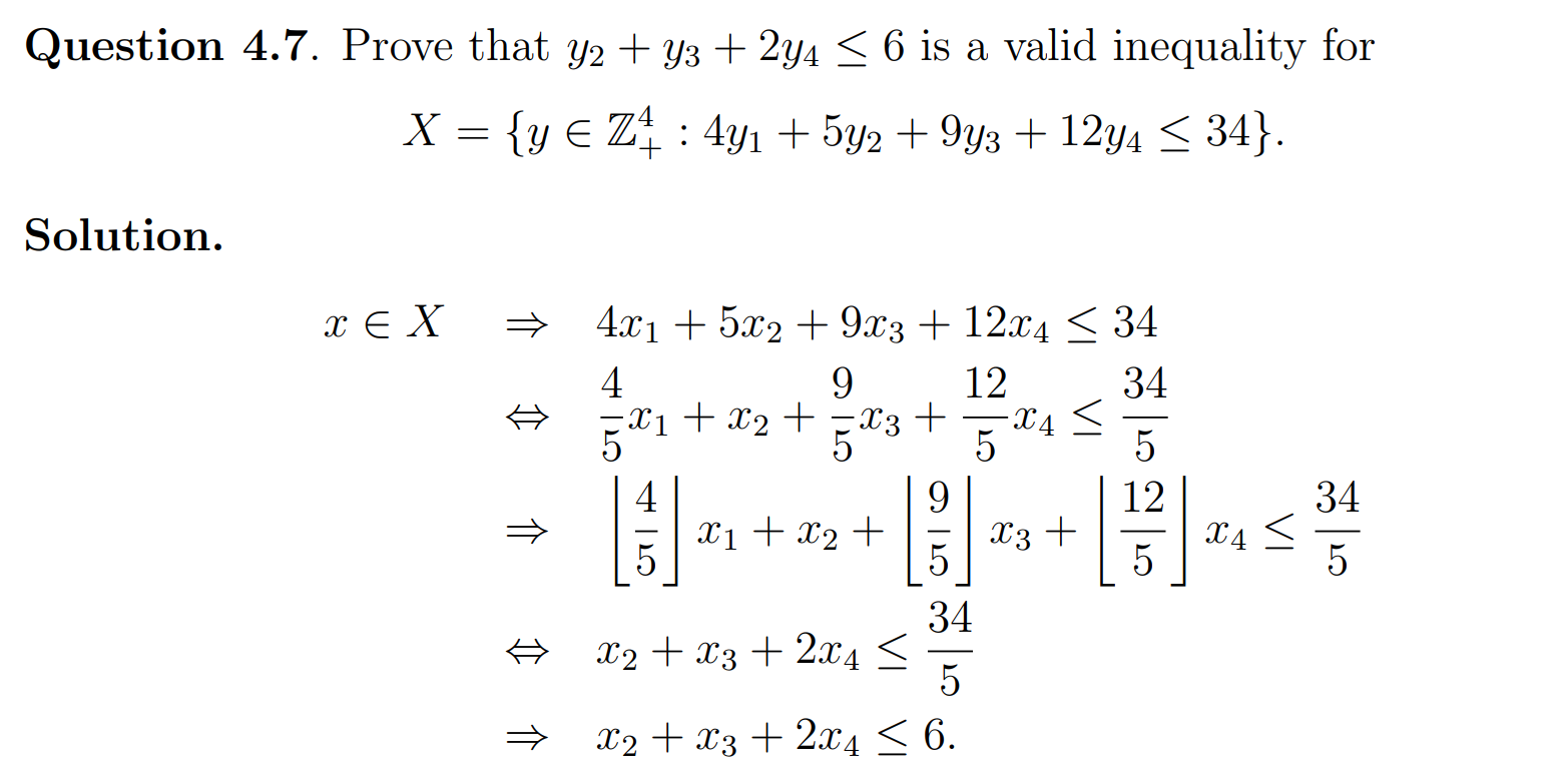
vaild inequality

若不等式是
型(或等价地希望左边不增),对左边系数用向下取整 ,因为对非负整数变量 , ,不会破坏“≤”的成立;而此时右边若是常数,为保证整数解成立,要对右边向下取整。 若不等式是 ≥ 型(或等价地希望左边不减),对左边系数用向上取整 ⌈⋅⌉,因为 ⌈a⌉x≥ax,仍保持“≥”有效;而右边为常数时,要对右边向上取整**。

IP problem

IP 问题与ideal formulation的关系:


LP Relaxation


greedy heuristics method(反例:是feasible不是optimal)

一个典型的反例是 0-1 背包问题。假设背包容量为 ( W = 50 ),有三件物品:
| 物品 | 重量 | 价值 | 单位价值 (v/w) |
|---|---|---|---|
| A | 10 | 60 | 6 |
| B | 20 | 100 | 5 |
| C | 30 | 120 | 4 |
贪心算法会按单位价值从高到低选择物品,因此依次选 A(10kg)、B(20kg),此时背包剩余 20kg,但 C 需要 30kg 放不下,于是总价值为 (60 + 100 = 160)。
然而最优解是选择 B 与 C(20 + 30 = 50),总价值为 (100 + 120 = 220),明显更高。
原因在于:贪心算法仅考虑当前单位价值最高的物品,却忽略了整体组合的收益,导致陷入局部最优。这表明贪心法在 0-1 背包问题中不能保证全局最优解。
TU Matrix


Sufficient Condition


证明:
Assume that (i)–(iii) are satisfied but that A is not TU. Let B be a smallest square submatrix of A such that det(B)∉{0,+1,−1}. Then all columns of B contain exactly two nonzero coefficients (why? If B contains a column with a single nonzero entry, B would not be minimal). Because of (iii), adding the rows of B with indices in
性质

LP relaxation 的解是整数解


多面体是顶点是整数。


Max Flow
formula a max flow



建模方法

dual problem


Max-Flow,Min-Cut


FFA



Alpha-beta


注意这里:I*:的编号有A1的原因是扫描B2的时候有反向的流。

Independent system

matroid

例题




欧拉路径压缩回Hamilton 回路






TREE

例题
